杭州环特生物科技股份有限公司品牌商

13

手机商铺

qrcode
商家活跃:
产品热度:
  • NaN
  • 0.20000000000000018
  • 1.2000000000000002
  • 0.20000000000000018
  • 3.2
小鼠PDX模型构建 / 药敏检测 / 科研服务
询价
品牌商

杭州环特生物科技股份有限公司

入驻年限:13

  • 联系人:

    成经理

  • 所在地区:

    浙江 杭州市 滨江区

  • 业务范围:

    实验室仪器 / 设备、抗体、试剂、细胞库 / 细胞培养、论文服务、技术服务

  • 经营模式:

    生产厂商 科研机构

在线沟通

公司新闻/正文

化妆品功效评价领域初个斑马鱼检测方法团体标准正式发布

1033 人阅读发布时间:2021-05-07 09:14

新闻图片1
4月28日,浙江省健康产品化妆品行业协会正式发布《化妆品美白功效测试 斑马鱼胚胎黑色素抑制功效测试方法》团体标准,标准号T/ZHCA 012-2021。
该标准由杭州环特生物科技股份有限公司牵头制定,广东完美生命健康科技研究院有限公司、云南贝泰妮生物科技集团股份有限公司、浙江养生堂天然药物研究所有限公司、浙江省食品药品检验研究院、国珍健康科技(北京)有限公司、杭州百芮生物科技有限公司、杭州睿道医药科技有限公司、启迪禾美生物科技(嘉兴)有限公司、浙江方圆检测集团股份有限公司、广东立创检测技术服务有限公司等11家单位参与起草,将于2021年6月1日起正式实施,终于结束了我国化妆品功效评价领域斑马鱼功效检测方法标准的“真空”。
新闻图片2
化妆品功效评价领域——初个斑马鱼检测方法团体标准
自2021年1月1日《化妆品监督管理条例》正式实施以来,4月9日,《化妆品功效宣称评价规范》《化妆品安全评估技术导则(2021年版)》又相继发布,这意味着,中国化妆品行业正式进入了功效宣称评价、安全评估时代。
新的化妆品检测与评价技术的研究开发,对于新规下化妆品行业的发展至关重要。目前,斑马鱼检测方法已成为一种新兴的化妆品检测替代性实验方法。
新闻图片3
本次11家企业、机构联合起草发布的《化妆品美白功效测试 斑马鱼胚胎黑色素抑制功效测试方法》团体标准,历时近1年,基于大量的斑马鱼生物检测技术创新应用实验实践而制定,是国内化妆品功效评价领域初个关于斑马鱼用于美白功效测试的团体标准。
这一标准,不仅初次定义了化妆品功效评价领域斑马鱼检测方法标准,在试验准备、试验程序、数据处理、实验结果判定等方面实现了一系列的技术创新,科学性、可靠性、市场适用性等关键指标均达到了很高水平,而且,填补了化妆品领域斑马鱼检测方法标准的“真空”地带,对化妆品市场健康发展起到了积极的指导作用,也为化妆品监管条例下的功效宣称、配方研发、原料筛选及安全性测试提供了一种全新的补充检测方法。
此次发布化妆品功效评价领域的初个斑马鱼检测方法团体标准,充分体现了浙江省健康产品化妆品行业协会、环特生物、完美生命健康科技研究院、贝泰妮生物科技、养生堂、浙江省食品药品检验研究院、国珍健康、百芮生物、睿道医药、启迪禾美、方圆检测、立创检测等机构与企业在标准引领、技术创新上的担当与社会责任感,斑马鱼生物检测技术在化妆品领域正发挥着越来越重要的作用。
特别值得一提的是,近年来,浙江省健康产品化妆品行业协会积极推动化妆品检测技术团体标准的制修订,填补行业空白,目前已相继发布《染发类化妆品眼刺激性试验体外评价方法——牛角膜浑浊和渗透性试验(BCOP法)》、《化妆品抗皱功效测试方法》、《化妆品影响皮肤弹性测试方法》等多项人体及体外检测技术团体标准。
新闻图片4
初次定义斑马鱼美白功效测试方法
“水中小白鼠”斑马鱼,作为一种与人类基因相似度高达87%的模式生物,以斑马鱼胚胎为基础的实验结果一般情况下均适用于人体,又兼具高通量、快交付、透明直观、成本低等特点,可以很好地用于化妆品功效及安全性测试,并作为一种化妆品检测替代性实验方法应用。
该标准基于斑马鱼胚胎黑色素抑制功效测试方法,对化妆品美白功效进行测试,初次定义了该测试方法的数据处理及结果判定标准,可以直观、可视化而又快速地助力企业产品及原料的美白功效测试及市场推广等。
新闻图片5
标准指出,通过计算各组试验黑色素抑制率的平均值(n=10)、标准偏差(SD)及各实验组与空白/溶剂对照组相比的显著性差异,以空白/溶剂对照组作为标准,比较各实验组黑色素信号强度,P< 0.05表示有显著性差异。
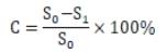
黑色素抑制率按右式计算:新闻图片6
式中:C ——受试物的黑色素抑制率,%;S0——空白对照组的黑色素信号强度平均值(n=10);S1——受试物组的黑色素信号强度平均值(n=10)。
实验结果判定时,通过受试物与空白/溶剂对照相比,黑色素信号强度显著降低(P<0.05),且黑色素抑制率≥20%,判定为受试物在该浓度下具有抑制黑色素生成的能力。本结果可作为美白功效评价的证据支撑之一,示例图如下:
新闻图片7
通过图中可以看出,使用美白产品的斑马鱼黑色素生成明显少于正常对照组,说明该美白产品能够抑制黑色素的生成,具有美白功效。
新闻图片8
与时俱进,与国际接轨
在本次化妆品斑马鱼检测标准的制定过程中,环特生物牵头的标准制定团队既结合国际标准OECD236、《化妆品功效宣称评价规范》等标准体系,又结合了斑马鱼生物检测技术在国内10余年成熟的技术应用实践和经验,形成了具有中国特色的《化妆品美白功效测试 斑马鱼胚胎黑色素抑制功效测试方法》团体标准。
由于斑马鱼是国际公认的、适于功效性评价的新型脊椎类模型动物,可为各种化妆品、保健食品及药品评测安全性和其他功效属性。
其具有其他动物不可比拟的优势:根据欧盟动物保护法,出生5天以内的斑马鱼胚胎和幼鱼不属于动物,可用于替代哺乳动物测试,符合3R(替代、减少、优化)原则;它被美国国立卫生院列为继小鼠和大鼠之后的第三大模式生物,并且受到欧美食品药品监督管理部门认可,通过GLP认证;OECD认定斑马鱼胚胎毒性测试为评价化学品毒性最敏感的体内方法;至今OECD和ISO共发布了10项鱼类(斑马鱼)化学品毒性检测标准。
新闻图片9
近年来,随着动物福利观念与替代性实验科技的发展,越来越多的企业与机构开始用斑马鱼检测与评价化妆品产品功效及安全,把控产品品质,以科学见证产品实力。
因而,《化妆品美白功效测试 斑马鱼胚胎黑色素抑制功效测试方法》团体标准虽然非等效采用OECD及ISO相关标准,但在宏观方面与相关国际标准保持一致,尽可能与国际接轨,可以说,这是一部适合我国国情的化妆品领域的斑马鱼检测标准,既具有中国特色,又可操作,保证了本标准的科学性和可靠性。
形成标准只是头一步,斑马鱼生物检测技术的发展与应用仍需要更多人的关注与参与。未来,环特生物将联合更多的化妆品企业进一步深化标准引领,完善标准规范的实施与应用,推动标准规范落细落实到化妆品产品功效测试上,力争构筑良好的应用生态,将标准规范升格为行业、乃至国际标准。

上一篇

环特生物斑马鱼检测技术专场邀您共聚2021CBE中国美博会!

下一篇

FFC中国功能性食品大会丨环特生物斑马鱼技术助力功能性食品研发

更多资讯

我的询价